Berechnung cos Phi
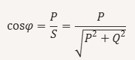
Berechnet für einen angegebenen Zählpunkt für jede Periode den cos(φ) über die Formel

Das Ergebnis wird in den OBIS-Zählpunkt 'Leistungsfaktor, Lastgang, T0' (001-000:013.029.000*255) geschrieben. Der Workflow ist nur auf das Medium Strom anwendbar. Ein benutzerdefinierter Beendet-Trigger kann ausgelöst werden.
Wo finde ich diesen Workflow? Erfassungsbereich => Zählpunkt => Automation |
Parameter
Name/Bezeichnung/Titel | Aussagekräftige Text-Angabe. Die Bezeichnung dient zur Identifikation und Suche und kann jederzeit geändert werden. |
Zeitspanne | Definiert, wie die Zeitspanne für die Aktion festgelegt wird.
|
Beendet-Trigger | Trigger – Legt den Trigger fest, welcher nach dem Beenden des Workflows ausgeführt wird. |